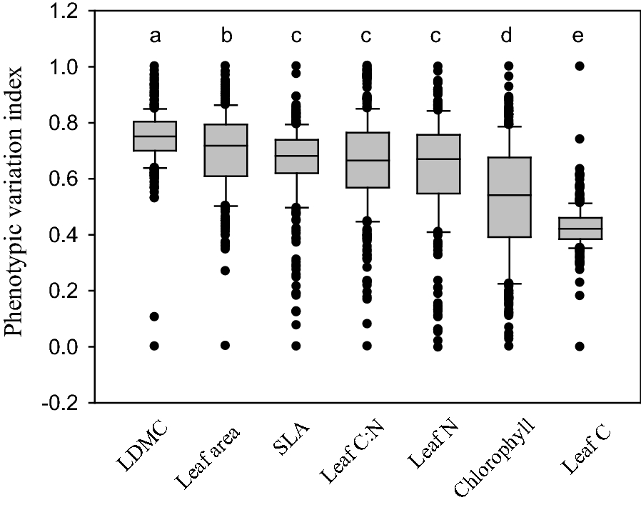
Fig. 1From: The relative contributions of climate, soil, diversity and interactions to leaf trait variation and spectrum of invasive Solidago canadensisThe boxplot of phenotypic variation index of seven leaf traits. LDMC, leaf dry matter content; SLA, specific leaf area. The different letters indicate significant differences at the P = 0.05 levelBack to article page